List of Integral Formulas
The list of integral formulas are
∫ 1 dx = x + C
∫ a dx = ax+ C
∫ xn dx = ((xn+1)/(n+1))+C ; n≠1
∫ sin x dx = – cos x + C
∫ cos x dx = sin x + C
∫ sec2 dx = tan x + C
∫ csc2 dx = -cot x + C
∫ sec x (tan x) dx = sec x + C
∫ csc x ( cot x) dx = – csc x + C
∫ (1/x) dx = ln |x| + C
∫ ex dx = ex+ C
∫ ax dx = (ax/ln a) + C ; a>0, a≠1
These integral formulas are equally important as differentiation formulas.
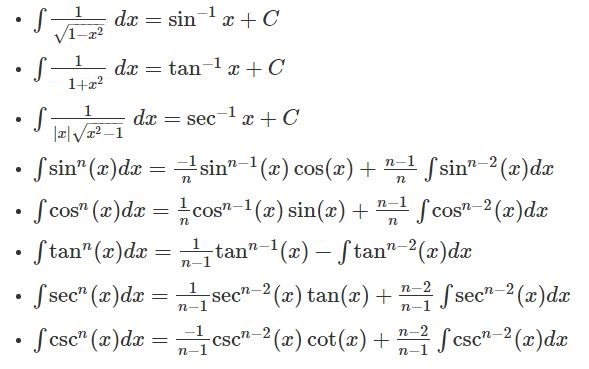
Some other important integration formulas are

Derivation of Integration By Parts Formula
If u(x) and v(x) are any two differentiable functions of a single variable y. Then, by the product rule of differentiation, we get;

u’ is the derivative of u and v’ is the derivative of v.
To find the value of ∫vu′dx, we need to find the antiderivative of v’, present in the original integral ∫uv′dx.


Note:
- Integration by parts is not applicable for functions such as ∫ √x sin x dx.
- We do not add any constant while finding the integral of the second function.
- Usually, if any function is a power of x or a polynomial in x, then we take it as the first function. However, in cases where another function is an inverse trigonometric function or logarithmic function, then we take them as first function.
Ilate Rule
In integration by parts, we have learned when the product of two functions are given to us then we apply the required formula. The integral of the two functions are taken, by considering the left term as first function and second term as the second function. This method is called Ilate rule.
Suppose, we have to integrate x ex, then we consider x as first function and ex as the second function. So basically, the first function is chosen in such a way that the derivative of the function could be easily integrated. Usually, the preference order of this rule is based on some functions such as Inverse, Algebraic, Logarithm, Trigonometric, Exponent.
The Fundamental Theorem of Calculus
The Fundamental Theorem of Calculus (FTC) shows that differentiation and integration are inverse processes.



So the second part of the fundamental theorem says that if we take a function F, first differentiate it, and then integrate the result, we arrive back at the original function, but in the form F(b)−F(a).
Thus, the two parts of the fundamental theorem of calculus say that differentiation and integration are inverse processes.
This is defined as the definite integral as the limit of a sum.
Properties of Definite Integral
There are some properties of definite integral which could help to evaluate the problems based on it, easily.
- ∫ab f(x) dx = ∫ab f(t) d(t)
- ∫ab f(x) dx = – ∫ba f(x) dx
- ∫aa f(x) dx = 0
- ∫ab f(x) dx = ∫ac f(x) dx + ∫cb f(x) dx
- ∫ab f(x) dx = ∫ab f(a + b – x) dx
- ∫0a f(x) dx = f(a – x) dx
indefinite integral mean?
Answer: An indefinite integral refers to a function which takes the anti-derivative of another function. We visually represent it as an integral symbol, a function, and after that a dx at the end.
Formulae for Indefinite Integrals
Now that we already taken care of the concept of Integration, let’s take a quick look at some of the basic indefinite integrals formulae –

The Substitution Method
According to the substitution method, a given integral ∫ f(x) dx can be transformed into another form by changing the independent variable x to t. This is done by substituting x = g (t).
Consider, I = ∫ f(x) dx
Now, substitute x = g(t) so that, dx/dt = g’(t) or dx = g’(t)dt.
Therefore, I = ∫ f(x) dx = ∫ f[g(t)] g’(t)dt
It is important to note here that you should make the substitution for a function whose derivative also occurs in the integrand as shown in the following examples.


Different Forms Integration by Partial Fractions
Let’s say that we want to evaluate ∫ [P(x)/Q(x)] dx, where P(x)/Q(x) is a proper rational fraction. In such cases, it is possible to write the integrand as a sum of simpler rational functions by using partial fraction decomposition. Post this, integration can be carried out easily. The following image indicates some simple partial fractions which can be associated with various rational functions:

Please note that A, B, and C are real numbers and their values should be determined suitably.

Note: Equation (1) is true for all permissible values of x. Some authors use the symbol ‘≡’ to indicate that the statement is an identity and use the symbol ‘=’ to indicate that the statement is an equation, i.e., to indicate that the statement is true only for certain values of x.





Gamma and Beta functions
Definition.
For x positive we define the Gamma function by

This integral cannot be easily evaluated in general, therefore we first look at the Gamma function at two important points. We start with x = 1:

Now we look at the value at x = 1/2:

The last integral cannot be evaluated using antiderivative . However, this particular definite integral is very important (for instance in probability), so people eventually found a trick to find its value.
To find the value of the Gamma function at other points we deduce an interesting identity using integration by part:

The limit is evaluated using l’Hospital’s rule several times. We see that for x positive we have

If we apply this to a positive integer n, we get

So we see that the Gamma function is a generalization of the factorial function. It is possible to show that the limit of the Gamma function at 0 from the right is infinity, the graph looks like this:

Since at integer points, the value of the Gamma function is given by the factorial, it follows that the Gamma function grows to infinity even faster than exponentials.
Definition.
For x,y positive we define the Beta function by

Using the substitution u = 1 – t it is easy to see that

To evaluate the Beta function we usually use the Gamma function. To find their relationship, one has to do a rather complicated calculation involving change of variables (from rectangular into tricky polar) in a double integral. This is beyond the scope of this section, but we include the calculation for the sake of completeness:

Thus
